
OR WAIT null SECS
© 2026 MJH Life Sciences™ , Pharmaceutical Technology - Pharma News and Development Insights. All rights reserved.
The authors experiment with a resonant acoustic mixer as a method for dry powder coating.
Efficient handling and transport of fine-particle powders can be difficult because of the highly cohesive nature of the bulk powder mass. It is well reported in the literature that the application of nanosized guest dry powder coatings, such as silicon dioxide, onto the surfaces of these cohesive host particles can effectively reduce the attractive forces between them (1–5). The fine nanoparticles increase the spacing between the host particles and increase the apparent surface roughness, which decreases the host particle cohesive van der Waals attractions (5, 6). After dry powder coating, the bulk powder exhibits increased bulk density, improved powder flow performance, and easy fluidization behavior, all of which can significantly improve manufacturing performance (1–5). This result is of significant benefit to pharmaceutical powder processing because the easy transport of large bulk quantities of powder through unit operations is necessary to manufacture solid dosage forms such as capsules and tablets.
It was recently demonstrated that conventional pharmaceutical processing equipment, namely a comil, can effectively apply dry powder coatings of silicon dioxide onto active pharmaceutical ingredients (APIs) and excipients without causing attrition of the host's primary particles (1). This discovery is important because comils can be operated in a continuous manufacturing process and are commonly available at pharmaceutical product manufacturing sites. Although the comil is a simple, effective, and scalable unit operation for applying dry powder coatings, the systematic study of the process operational design space, such as screen size and impeller speed, may be required to optimize the coating performance. This iterative method may not be possible in early drug product development because of the limited available quantities of API (often less than 50 g) and the potential for improved performance after dry powder coating may be overlooked, especially as API synthesis, isolation, and sizing processes change often. Therefore, alternative (or complementary) methods for applying dry powder coatings would be desirable during early product development.
A laboratory scale resonant acoustic mixer (LabRAM) similar to the one shown in Figure 1 was evaluated as a potential tool for dry powder coating (7, 8). The LabRAM is a sophisticated bench-top mixer that exploits low frequency, high intensity, acoustic energy to rapidly fluidize and disperse as much as 500 g of a variety of materials. The RAM uses acoustic energy to mix the desired media through an oscillating mechanical driver that accelerates the mixing vessel by as much as 100 times the acceleration of gravity. The propagation of mechanical energy through a system of plates, weights, and springs creates an acoustic pressure wave in the mixing vessel. The frequency of the driver is optimized by the control system so that the system operates at resonance. By operating at resonance, the acoustic energy is absorbed by the media. The efficient mixing is accomplished by creating a homogenous shear zone throughout the mixing vessel without imparting excess energy and without the aid of mixing media or impellers. This approach seems promising because the RAM can mix at high acceleration and amplitude and therefore induce significant shear strain within the bulk powder in a short time. Related work by Davé and coworkers has demonstrated that when high degrees of shear are induced (e.g., by impact coaters) to disperse fine particles, the particles preferentially adhere to the surface of larger host particles after processing (2, 3, 5).
Figure 1: Laboratory-scale resonant acoustic mixer (LabRAM), including the vacuumâdeaeration unit (left), mixing unit (center), and control unit (right). (FIGURE 1 IS COURTESY OF RESODYN CORPORATION)
In this study, the RAM was evaluated as a tool for applying various dry powder coatings, such as silicon dioxide, to pharmaceutical excipients and APIs. The effect of these coatings on powder bulk density, particle size, and shear cell flow performance were used as indicators of performance enhancement, and the results were compared to those of dry powder coating using a comil.
Materials and methods
A selection of pharmaceutical powders were chosen as host particles with different particle sizes, particle shapes, and chemistry: ibuprofen (50 grade and 90 grade, BASF), acetaminophen (micronized, Mallinckrodt Baker), proprietary active pharmaceutical ingredients (API "A" and API "B," Pfizer), mannitol (powder grade, SPI Pharma), and lactose monohydrate (310 grade, Foremost Farms). Four guest particles were selected and represented a range of small microsized or nanosized particles commonly used as glidants or lubricants in solid dosage formulations: hydrophobic silicon dioxide (Aerosil R972, Evonik/Degussa), hydrophilic silicon dioxide (Aerosil 200, Evonik/Degussa), titanium dioxide (USP grade, Brenntag Specialties), and magnesium stearate (HyQual, Mallinckrodt Baker).
RAM dry powder coating. A resonant acoustic mixer (LabRAM, 500 g capacity, Resodyn) was used to prepare the coated particles in small batches (~20 g). The host and guest particles were placed into amber glass bottles and mixed for as much as 10 min at a frequency of 60–61 Hz and a mechanical driver magnitude of 75–80 times the acceleration of gravity. The mixing oscillation mixing frequency was optimized by the RAM driver control module to mix the powder at resonance.
Comil dry powder coating. An overdriven comil (model 197, Quadro Engineering) was also used to prepare dry-coated particles. Details of this approach for coating were previously reported (1). This process required the selection of comil operating conditions (i.e., screens, impeller, operating speed, and the powder feeding rate) to maximize dispersion of the guest particles and enable throughput without screen blinding. A round-edged impeller rotating at a tip speed of 2.4 m/s and round hole screens (0.457 to 0.813 mm opening) were selected to maximize residence time and minimize host-particle attrition. The screen opening size was slightly above the maximum particle size of the host particle and the powder was manually charged to the mill at 10–200 g/min.
Powder characterization. Photomicrographs were taken with a scanning electron microscope (FEI Quanta 200, FEI) using a working distance of 10 mm with an accelerating voltage of 5 kV. The particle-size distribution was determined using a laser-diffraction particle-size analyzer (Sympatec HELOS/RODOS, Sympatec) with dry dispersion capability. The bulk density was determined using the USP <616> method. The flow behavior of powders equilibrated at 50% relative humidity was determined using an annular shear cell (Schulze Ring Shear Tester model RST-XS, Wolfenbüttel, Germany) using a preconsolidation stress of 4 kPa. The ratio of the principal consolidation stress to the unconfined yield strength was used to calculate the flow function coefficient (FFC). The FFC was used as an indicator of powder flow performance. Powders with FFC values between 4 and 10 were considered easy flowing, and higher FFC values indicate superior flow behavior (9).
Results
Effect of RAM mixing on powder and particle properties. An examination of the ibuprofen and acetaminophen host particles after mixing showed slight changes to the surfaces of some of the host particles when processed in the RAM without silicon dioxide. Figure 2 shows what appears to be surface melting of an ibuprofen particle after mixing without silicon dioxide. Considering the relatively low melting point of ibuprofen (~70 °C), this suggests that interparticle friction may have increased the temperature of the powder during processing significantly above ambient laboratory temperature (20–25 °C). Some particle–particle abrasion may also have occurred during mixing in the absence of a glidant. However, the melting and abrasion did not appear in samples that were mixed with silicon dioxide, presumably because the glidant acted to significantly reduce the friction during mixing. No appreciable changes in particle size, morphology, or surface texture were observed for the acetaminophen particles. Further investigation is recommended to determine whether any significant heat was generated during the process, which may cause physical changes to sensitive host particles.
Figure 2: Scanning electron microscope micrographs of unprocessed (top row), resonant acoustic mixer (RAM) processed without silicon dioxide (middle row), and RAM processed with aerosil R972 (bottom row) for ibuprofen (left column) and acetaminophen (right column). The RAM processed ibuprofen without silicon dioxide shows some surface abrasion or melting, and the RAM processed acetaminophen did not appear to change. (ALL IMAGES AND FIGURES ARE COURTESY OF THE AUTHORS, EXCEPT WHERE OTHERWISE NOTED)
The particle-size distributions of the unprocessed ibuprofen and acetaminophen host particles were compared with the silicon dioxide mixed powders after 10 minutes of processing to determine whether appreciable host particle attrition or agglomeration had occurred (see Table I). The apparent particle size of the two ibuprofen powders slightly increased after mixing with silicon dioxide. There was no appreciable change in the particle size of the acetaminophen after mixing with silicon dioxide. It is hypothesized that the smallest ibuprofen particles adhered to larger particles after mixing. Based on these results, the RAM did not appear to cause host particle attrition during dry powder coating, but for certain powders, the process could promote agglomeration or further ordered mixing.
Table I: Particle-size distribution statistics for nprocessed and resonant acoustic mixer dry-powder-coated ibuprofen and acetaminophen.
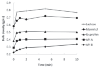
The influence of RAM mixing duration was assessed using host particles mixed with 1 wt% Aerosil R972 by periodic sampling. The extent of mixing was determined indirectly from bulk-density measurements because the silicon dioxide acts as a glidant to enable host-particle rearrangement when well dispersed over the host particles. In nearly all cases, the powders achieved a steady-state bulk density after approximately five minutes of mixing (see Figure 3), and therefore a five-minute mixing time was used in subsequent host-guest particle screening experiments as the standard mixing condition. It is currently hypothesized that mixing time at resonance can be used to scale up this process.
Figure 3: Effect of resonant acoustic mixer mixing time on bulk density of host powders coated with 1% aerosil R972.
Assessment of host particles. The RAM extent of coating, as measured by the change in bulk density after 5 min of mixing, was examined using five host powders and four guest powders. The data show that, overall, the Aerosil R972 guest particles were the most effective in increasing bulk density of the host powders, followed by Aerosil A200 and magnesium stearate (see Table II). On average, titanium dioxide was the least effective for increasing bulk density. The superiority of the hydrophobic silicon dioxide over hydrophilic silicon dioxide for lowering interparticulate cohesion is consistent with reports in the literature (4, 5, 10). Similarly, magnesium stearate as a dry powder coating was also shown to be effective for increasing bulk density when mixed with sufficient mechanical shear. In fact, compared with silicon dioxide, magnesium stearate was even more effective for improving the performance of some powders when dry coated with mechanical shear, and is sensitive to processing speed and processing time (11). These results suggest that there is no universal optimal guest particle, but rather they must be individually chosen for each host and mixing system. The RAM mixing approach is well suited for this purpose as material combinations can be quickly assessed with minimal powder consumption and experimentation time.
Table II: Percent change in bulk density of host powders after dry coating with 1 wt% guest particle in the resonant acoustic mixer for 5 min.
Relationship between comil and RAM dry powder coating. The bulk density and flow performance of uncoated powders were compared with comil dry coated powders and RAM dry coated powders to assess relative capabilities for dry powder coating. Figure 4 shows that when using 1 wt% Aerosil R972 as the guest powder, the RAM was able to improve the bulk density and flow performance of the host powder. In addition, the RAM was equally, if not more effective, than the comil for dry powder coating, presumably because of the significantly higher total shear strain imparted to the bulk powder system. This trend and hypothesis is similar to the observation that the comil is a more efficient tool for dry powder coating than a low-shear inversion mixer (1). Surprisingly, the relationship between flow and bulk density was linear (R2 >0.95) for each host particle system, regardless of the dry powder coating method. This finding further supports the qualitative observation made in comil dry coating studies in which an increase in bulk density was accompanied by an increase in flow performance (i.e., FFC) (1). Because the material consumption, material preparation time, and process time for dry powder coating with the RAM are generally lower than for an equivalent comil experiment, this instrument can be used as a screening tool during dosage form design to benchmark a host powder's maximum dry powder potential (i.e., to define the dry powder coating endpoint of FFC versus bulk density relationship). This coating extent could then be used as a product quality attribute to target during transfer and scale-up to the comil, which is a more traditional pharmaceutical process.
Figure 4: Change in powder bulk density and flow performance of uncoated host particles (O), comil dry coated powders (C), and RAM dry coated powders (R). aerosil R972 is used as the guest particle for the dry-coated powders.
Conclusion
The RAM was effective at applying dry powder coatings. The coated powders exhibited higher bulk density and superior powder flow performance compared with uncoated powders. This work demonstrated the following four main points:
Acknowledgments
Thanks is given to Professor Rajesh Davé (New Jersey Institute of Technology) for his review, suggestions, and support.
Matthew P. Mullarney*, Beth A. Langdon, and Mark A. Polizzi are scientists in the dosage form development group at Pfizer, Eastern Point Rd, Groton, CT 06340, USA, tel. 860.715.4139, fax 860.441.3972, matthew.p.mullarney@pfizer.com. Lauren E. Beach, PhD, is currently a scientist in the pharmaceutical development group at Aprecia Pharmaceuticals.
*To whom all correspondence should be addressed.
Submitted: May 3, 2011. Accepted: June 24, 2011.
References
1. M.P. Mullarney et al., Powder Technol. 212 (3), 397–402 (2011).
2. R. Pfeffer et al., Powder Technol. 117 (1–2), 40–67 (2001).
3. M. Ramlakhan et al., Powder Technol. 112 (1–2), 137–148 (2000).
4. J. Tomas and S. Kleinschmidt, Chem. Eng. Technol. 32 (10), 1470–1483 (2009).
5. J. Yang et al., Powder Technol. 158 (1–3), 21–33 (2005).
6. D.K. Balachandran et al., Powder Technol., (in review).
7. H.W. Howe et al., "Apparatus and method for resonant-vibratory mixing," US patent 7,188,993, Jan. 2004.
8. H.W. Howe et al., "Method for Resonant-Vibratory Mixing," US patent 7,866,878, Jan. 2007.
9. A.W. Jenike, Storage and flow of solids: Bulletin No 123 of the Utah Engineering Experiment Station (University of Utah, Salt Lake City, UT, Ed. 16, Vol. 53, 1964),
10. A.K. Muller et al., Eur. J. Pharm. Sci. 34 (4–5), 303–308 (2008).
11. Q. Zhou et al., Powder Technol. 207 (1–3), 414–421 (2011).